Code C++: Cây nhị phân

26/06/2020 Nosomovo 0

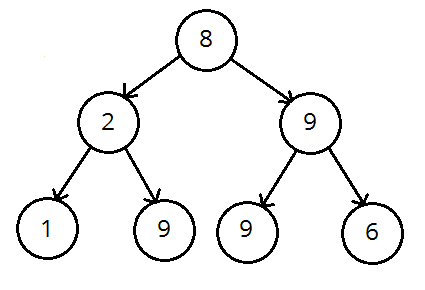
Đang đang cần code C++ cài đặt cây nhị phân thì ngay bên dưới đây là thứ bạn cần nhé. Phần code ngay bên dưới đây gồm các chức năng: Tìm node có key là X Hàm xác định giá trị lớn nhất giữa 2 số Hàm tìm 1 node

Code C++: Danh sách liên kết vòng đơn

24/06/2020 Nosomovo 0

Code C++ cài đặt danh sách liên kết vòng đơn gồm các chức năng sau: Hàm tạo node mới Hàm đếm số lượng node Hàm thêm node vào đầu danh sách Hàm thêm node vào cuối danh sách Hàm in danh sách Và ngay bên dưới đây là code C++

Turbo C 3.0 – Một IDE và trình biên dịch C/C++

18/06/2020 Nosomovo 0

Turbo C là môi trường hỗ trợ lập trình C do hãng Borland cung cấp. Môi trường này cung cấp các chức năng như: soạn thảo chương trình, dịch, thực thi chương trình… Phiên bản được sử dụng ở đây là Turbo C 3.0. Link download Turbo C 3.0 TC3:

Giáo trình C++

29/03/2019 Nosomovo 0

NỘI DUNG GIÁO TRÌNH C++ CHƯƠNG 1. MỘT SỐ KHÁI NIỆM CƠ BẢN VỀ LẬP TRÌNH 1. Thuật toán (Algorithm) 1.1. Khái niệm 1.2. Các đặc trưng của thuật toán 1.3. Các công cụ biểu diễn thuật toán 2. Ngôn ngữ lập trình (NNLT) 3. Chương trình (máy tính) 4.

Code 500 bài tập C cho 500 anh em

12/03/2019 Nosomovo 0

Nếu anh em đang tìm code bài tập C trong quá trình học tập thì đây, bộ sưu tập lên đến 500 bài cho anh em nghiên cứu. Bộ này gồm: – Phần cơ bản (chứa các thuật toán, cấu trúc dữ liệu thông thường) – Phần cấu trúc dữ

Copy folder in C#

29/03/2018 Nosomovo 0

Nếu bạn đang tìm code c# thực hiện copy thư mục thì đây, ngay bên dưới đây là code bạn cần nhé! private void DirectoryCopy(string sourceDir, string destDir) { DirectoryInfo dir = new DirectoryInfo(sourceDir); DirectoryInfo[] dirs = dir.GetDirectories(); if (!dir.Exists) { throw new DirectoryNotFoundException( “Không tìm thấy thư mục: ”

Sleep in C#

28/03/2018 Nosomovo 0

Nếu bạn đang viết một ứng dụng với ngôn ngữ C#. Và muốn cho ứng dụng ngủ 1 vài mili giây thì đây là code bạn cần nhé: System.Threading.Thread.Sleep(1); //Sleep 1 milisecond Application.DoEvents(); //Continute do some code after sleep Trong đó: Dòng thứ nhất: cho ngủ 1 mili giây. Dòng

Không có ảnh

Mysql connection string in C#

05/03/2018 Nosomovo 0

string Connectionstring = “SERVER=” + m_Server + “; PORT=” + m_Port + “;” + ” DATABASE=” + m_Database + “;” + “UID=” + m_UserName + “;” + “PASSWORD=” + m_PassWord + “; CharSet=utf8; POOLING=TRUE;”; nosomovo

Không có ảnh

Excel connection string in C#

05/03/2018 Nosomovo 0

string ConnectionString = “Provider=Microsoft.ACE.OLEDB.12.0; Data Source=” + “filename” + “; Extended Properties=\”Excel 12.0\”;”; Nosomovo

Không có ảnh

Sql server connection string in C#

05/03/2018 Nosomovo 0

Kết nối bằng quyền Windows: string m_ConnectString = “Data Source=” + “servername” + “;Initial Catalog=” + “databasename” + “;Integrated Security=True;”; Kết nối bằng quyền User: string m_ConnectString = “Data Source=” + “servername” + “;Initial Catalog=” + “databasename” + “;User Id=” + “username” + “;Password=” + “pasword” + “;”; Nosomovo

Không có ảnh

Code C# – Upload file to web server

26/01/2018 Nosomovo 0

  public class HttpUploadHelper { private HttpUploadHelper() { } public static string Upload(string url, UploadFile[] files, NameValueCollection form) { HttpWebResponse resp = Upload((HttpWebRequest)WebRequest.Create(url), files, form); using (Stream s = resp.GetResponseStream()) using (StreamReader sr = new StreamReader(s)) { return sr.ReadToEnd(); } } public static HttpWebResponse Upload(HttpWebRequest req, UploadFile[] files, NameValueCollection form)

Không có ảnh

Code C cài đặt thuật toán tìm kiếm tuyến tính – Linear search

20/11/2017 Nosomovo 0

// Tim kiem tuyen tinh (LinearSearch) #include<stdio.h> #include<conio.h> int LinearSearch1(int Day[],int n,int x) { int vitri=0; while(vitri<n&&Day[vitri]!=x) vitri++; if(vitri==n) return -1; else return 1; } int LinearSearch2(int Day[],int n,int x) { int vitri=0; while(vitri<n&&Day[vitri]!=x) vitri++; if(vitri==n) return -1; else return vitri; } int Mang[10]={1,2,3,4,5,6,7,8,9,10}; int X; void main() { clrscr();

Không có ảnh

Code C đổi số hệ cơ số 10 sang các hệ cơ số khác

20/11/2017 Nosomovo 0

/*———————————————- Chuong trinh doi co so he 10 ra co so n bat ky ———————————————–*/ #include <conio.h> #include <stdio.h> typedef int ElementType; struct Node { ElementType Element; Node *Next; }; typedef Node *Stack; typedef Node *Position; void MakeNullStack(Stack S) { S->Next=NULL; } Position Pop(Stack S) { return S->Next; } void

Lấy kích thước màn hình hiện tại bằng C#

07/11/2017 Nosomovo 0

Bạn cần lấy chính xác kích thước màn hình của thiết bị? Để bạn thực hiện các bước tính toán tối ưu cho ứng dụng trong việc hiển thị? Trong C#, để làm việc này chúng ta sử dụng đoạn code bên dưới để lấy kích thước màn hình hiện

Không có ảnh

Xác định trạng thái kết nối internet trong C#

28/09/2017 Nosomovo 0

Khi các bạn viết một ứng dụng C# yêu cầu kết nối internet để nó hoạt động. Khi đó nhu cầu kiểm tra trạng thái kết nối internet của máy tính người dùng trước nếu đã kết nối internet chúng ta mới cho ứng dụng của mình làm các công việc

Không có ảnh

Code mở một file trong C#

26/09/2017 Nosomovo 0

Để mở hoặc thực thi một file trong C# ta sử dụng đoạn code sau: System.Diagnostics.Process.Start(“duong_dan_den_file_can_mo”); Nếu “duong_dan_den_file_can_mo” là file thực thi thì sẽ chạy file thực thi. Nếu “duong_dan_den_file_can_mo” là các file text, word, các ứng dụng thì sẽ gọi phần mềm tương ứng để mở. Hy vọng hữu ích

Code xóa file trong C#

26/09/2017 Nosomovo 0

Để xóa file trong C# chúng ta sử dụng hàm Delete trong thư viện System.IO.File như sau: System.IO.File.Delete(“duong_dan_den_file_can_xoa”); Thật đơn giản phải không nào! Nosomovo